近期,Pelham 等研究者发表了一项题为《刺激性药物对 ADHD 儿童学习学术课程的影响》的研究,引发了广泛关注。
媒体将这项研究的结论简化为「科学家发现,药物对 ADHD 儿童的课堂学习没有明显影响」以及「单纯服药对学习没有帮助」。如果你曾接触过兴奋剂类药物、ADHD 患者或课堂教学,这个结论可能会让你大吃一惊。让我们来仔细解读一下这项研究。
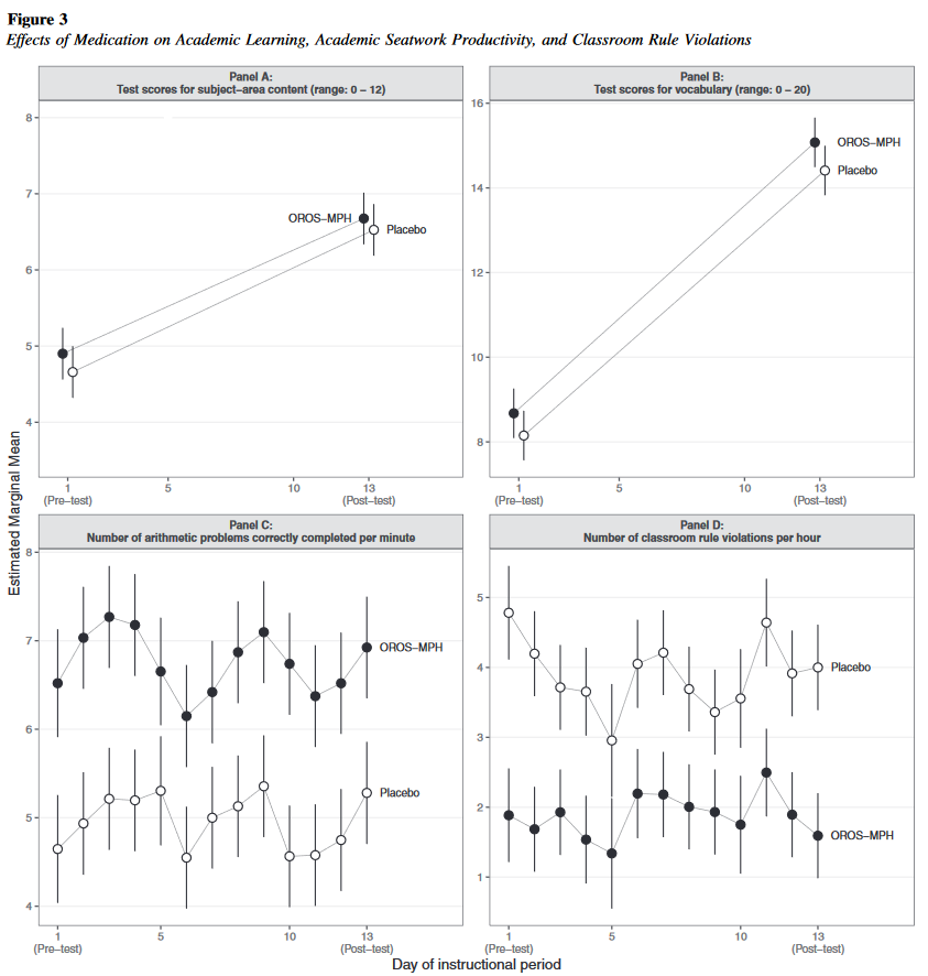
研究对象是 173 名 7 至 12 岁的儿童,以西班牙裔男孩为主。他们参加了一个专门帮助 ADHD 儿童提高注意力和专注能力的「治疗性夏令营」(温馨提示:可不敢说成「集中营」*哈)。每天,孩子们会上两节简短的课:一节词汇课,另一节则涵盖各种不同主题。研究分为两个阶段,每阶段三周。第一阶段,随机选取一半的孩子服用专注达(一种长效利他林),另一半不服用;第二阶段,两组交换用药情况。此外,每天还安排了 10 分钟的快速数学测试作为额外评估。以下是研究结果:
译注:原文为 concentration camp,concentration 既有专注,又有集中的意思。作者这个笑话好冷。

图表中的 OROS-MPH 其实就是专注达。
左下方的图表显示了孩子们每分钟完成的数学题数量。服用专注达的孩子解题速度提高了约 50%,这个差异具有统计学意义。右下方的图表则展示了每小时课堂违规行为的次数。服用专注达的孩子捣乱的频率只有不服用时的一半左右,这个差异同样显著。由此可见,专注达确实产生了作用,我们可以将这种作用概括为「提高了孩子的专注力」。
左上及右上方的两个图表反映的是测试分数。服用专注达的孩子在测试中表现略胜一筹:在统计学意义上,词汇测试的这种优势刚好达到统计学显著水平,而在其他科目中则略低于显著水平。不过,在现实中,专注达可能在这两个方面都带来了小幅的积极影响。然而,研究没有发现测试分数与用药条件之间存在交互作用*。换句话说,在整个学习过程中服用专注达并不会让孩子在最终测试中的表现突飞猛进,而他们分数提高的原因,只是药物让他们答题时更专注罢了。这似乎表明,专注达并没有帮助孩子在课程中学到更多知识。
*译注:指的是两个或多个变量之间的相互影响。如果存在交互作用,意味着一个变量的效果会随着另一个变量的变化而改变。
(值得注意的是,问题并不出在课程设置上。事实上,孩子们在后测中确实比前测*表现得更好。问题在于,即使更加专注于课程内容,也并没有带来额外的学习收益。)
*译注:前测就是吃药前测,后测就是吃药后测。
这与我对其他兴奋剂和注意力缺陷多动障碍(ADHD)相关文献的整体印象一致,例如 Swanson 的早期综述和最新综述都支持这一观点。兴奋剂能提高学生的成绩,这主要是通过增强他们在考试中的注意力集中度,或提高他们按时完成作业的概率来实现的。然而,如果我们仔细区分并评估实际的学习效果,就会发现兴奋剂对学习深度的影响通常并不显著。
我认为这项研究结果并没有对专注达造成负面影响。事实上,专注达只是宣称它能帮助人们提高注意力,而这项研究恰恰证实了这一点。研究表明,服用专注达的孩子在考试中表现更优秀,完成类似家庭作业的任务更迅速,而且在课堂上的干扰行为也明显减少。
不过,这项研究确实揭示了一些令人不安,或至少是令人困惑的问题,那就是关于注意力在学校教育中的作用——提高注意力并不(总是)意味着学习效果的提升。这究竟是为什么呢?
也许是因为课堂教学存在信息冗余?换言之,教师通常会多次重复重要内容,所以即使学生一次走神,也不会影响太大?然而,这种解释似乎与学生整体知识保留率较低的现实不太相符。事实上,学生在学科测试中的平均得分仅为 50% 左右;即便是在词汇测试中,平均分也只有 75%。
或许所有学生都已经接受了足够次数的教学,足以理解和记忆内容,而他们的学习瓶颈实际上在于先天智力——即理解复杂概念的能力。可能某些「学科领域」的问题涉及更为复杂的主题,因此造成了差异,但这种解释似乎不适用于词汇测试。理论上,所有词汇的复杂度应该是相当的,学生只需要反复接触这些词汇,就应该能够将它们记住,不是吗?
然而,如果这种推论成立,那就意味着学生在学习新词汇时,测试成绩只可能是 100% 或 0%,这显然与现实不符。以我的学习经历为例,我们通常在一个单元中学习二十个新词,对每个词进行相同强度的练习。但在测试中,我经常得到介于 100% 和 0% 之间的分数。这表明,即使是看似相似的单词,其记忆难度也可能存在差异。造成这种差异的原因可能有多种:有些单词可能与已知词汇发音相似,形成自然的记忆联系;有些单词可能因为读音优美而易于记忆;还有些单词可能因为其含义与生活密切相关而更容易掌握。因此,我们可以推测,对于每个学生来说,每个单词可能都有一个隐性的「难度」。如果一个单词的难度低于学生的能力阈值,那么只需少量重复就能牢记;而如果难度高于这个阈值,即使增加重复次数也可能效果有限。
这让我想起了我曾经写过的一篇文章,题为《成绩为什么会上不去?》[1]。文章研究了医学生(主要是外科医生)在规培期间的学习情况。这些医生从第一年到第五年的规培中每年都参加测试。研究发现,外科医生在第二年的表现比第一年有显著提升,第三年比第二年略有进步,但之后就进入了平台期。这种趋势非常明显,以至于一名五年级外科医生在测试中胜过一名四年级外科医生的概率仅为 52%。有趣的是,这并非因为达到了能力上限,因为聪明的五年级外科医生的成绩遥遥领先于同级的其他医生,而且所有人的成绩都远未达到满分。这就引发了一个问题:为什么这些医生在第五年似乎没有明显的学习进步呢?
当时,我提出了一个假设:智力可能决定了大脑能够支持的知识结构的复杂程度。在外科的学习中,复杂和详细的知识是建立在更基础、更简单的概念之上的。但是,在某个临界点上,大脑的「信息处理能力」可能会达到饱和,从而停止吸收更多的细节信息。
(这一现象还可以从另一个角度理解,即霍默·辛普森效应。这种效应描述了一种现象:在学习新知识的过程中,我们可能会遗忘一些旧有的、相似的知识。这可能是因为大脑难以始终清晰地区分这些相似的信息,因此倾向于保留最新学到的内容,而不是让新旧信息持续互相干扰。这种效应可能部分解释了为什么学习会出现平台期。)
如果我们假设学习外科手术、量子物理或其他复杂学科需要一定的智力水平,那么前面提到的这些观点很可能是正确的。否则,我们就可以找一个智力水平很低的人,每天教他一点量子物理,持续二十年,最终让他掌握相当于一个聪明人在四年大学教育中所学到的知识量。虽然我从未听说过有人正式进行过这样的实验,但我预测它将以失败告终。
既然我们已经在进行大胆的推测了,那不妨更进一步——我在想,是否存在一个类似人工智能扩展法则的人类学习模型。在 AI 领域,这些法则描述了当增加参数、训练数据或计算能力时,AI 性能如何提升。虽然我不敢说完全理解这些函数的具体细节(详情可参考相关链接),但简而言之,要达到高性能,就需要确保这些要素中没有任何一个成为瓶颈。
让我们继续这个大胆的推测:AI 有参数,那么人类是否也存在某种参数呢?参数数量可能对应于人类的智力水平(这或许与实际的神经元数量有一定关系;特别是可能与神经元有多善于维持互不干扰的信息模式有关)。训练数据可以类比为人类在某一领域积累的知识量,而计算能力则可以理解为反复复习直至完全掌握知识的过程。然而,当我们将这个模型应用到学习单个词汇时,如何区分这些因素呢?在这种情况下,相关的数据只有一条——1 张包含单词及其定义的抽认卡。剩下的变量就只有复习的次数了——或许还有每次复习时的专注程度?但是,前文的研究已经表明,在自然学习环境中,专注度的影响似乎并不显著。这就引发了一个疑问:这些学生的学习是否受到了某种其他资源的瓶颈限制?
Thoughts Memo 汉化组译制
感谢主要译者 panda,校对 Jarrett Ye
原文:Study: Ritalin Works, But School Isn't Worth Paying Attention To (astralcodexten.com)
发布于 2022 年 7 月 6 日